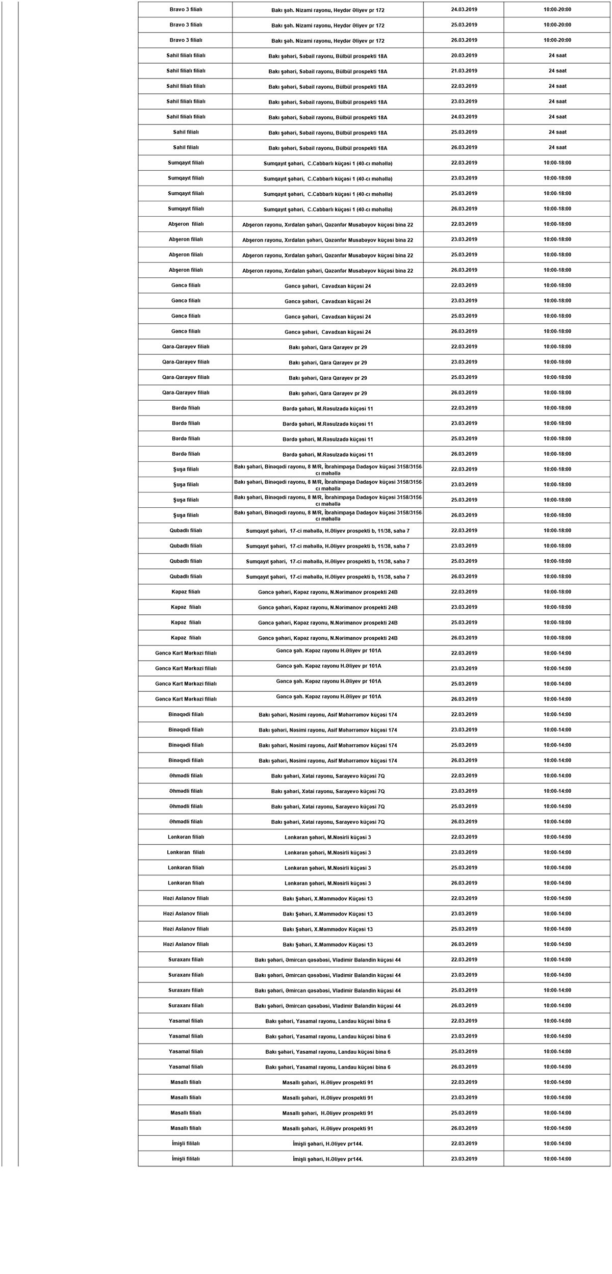
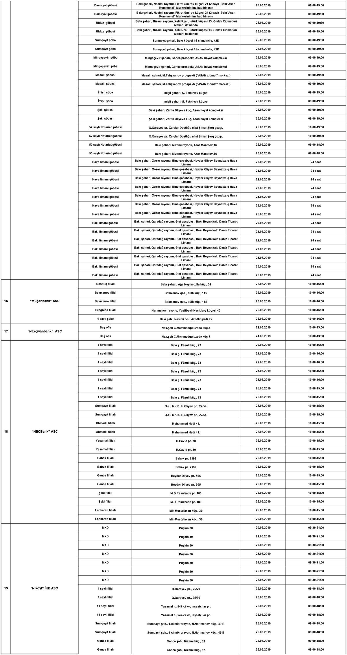
24 bankın 152 filial və şöbəsi gücləndirilmiş iş rejimində çalışacaq - SİYAHI
Ölkə əhalisinin və çoxsaylı turistlərin Novruz bayramı ilə əlaqədar qeyri-iş günləri ərzində bank xidmətlərindən rahat faydalanmasının təmin edilməsi məqsədilə 24 bankın 152 filial və şöbəsi gücləndirilmiş iş rejimində çalışacaq.
Bu barədə "Marja" Maliyyə Bazarlarına Nəzarət Palatasından bildirilib.
Bayram günləri ərzində ölkəmizə əhəmiyyətli turist axınının olacağını nəzərə alaraq onların valyuta mübadiləsi əməliyyatlarını rahat həyata keçirə bilmələri üçün Maliyyə Bazarlarına Nəzarət Palatası paytaxtda və əsas turizm bölgələrində yerləşən bankların filial və şöbələrinə gücləndirilmiş iş rejimində çalışmağı tövsiyə edib.
5 bankın Sumqayıt, Xırdalan, Gəncə, Lənkəran, Şəki, Xaçmaz, Quba, Bərdə, Naxçıvan və digər şəhərlərdə yerləşən 46 filial və şöbəsi müştərilərə xidmət göstərəcək.
Bakıda yerləşən 8 bankın 13 filial və şöbəsi 24/7 rejimində fəaliyyət göstərəcək.
Bundan əlavə, bayram günlərində Palatanın əməkdaşlarından ibarət xüsusi monitorinq qrupu fəaliyyət göstərəcək. Yarana biləcək hər hansı bir problemlə bağlı maliyyə xidmətləri istehlakçıları Palatada yaradılmış qaynar xəttə müraciət edə bilərlər:
Koordinator:
Azər Quluyev
Tel: 493-50-58 (dax:357);
Mob: +994 70 908 62 21
Mail: [email protected]
20-26 mart tarixlərində çalışacaq bank filial və şöbələrinin siyahısı və ünvanları
Müştərilərin xəbərləri
PAŞA Bank sahibkarlara illik 12%-dən başlayan biznes krediti və komissiyasız əməliyyatlar təklif edir
SON XƏBƏRLƏR
- 1 ay sonra
- 6 gün sonra
- 19 saat əvvəl
-
- 19 saat əvvəl
-
20 saat əvvəl
Yanvarda Azərbaycanda 402 ədəd minik avtomobili istehsal olunub - 71% ARTIM
- 21 saat əvvəl
- 21 saat əvvəl
- 21 saat əvvəl
- 22 saat əvvəl
- 22 saat əvvəl
-
23 saat əvvəl
"Fitch Solutions" 2026-cı ildə Azərbaycan iqtisadiyyatında artım ilə bağlı gözləntilərini yüksəldib
-
23 saat əvvəl
"2026-nın sonuna qədər Azərbaycanda uçot dərəcəsinin 6 %-ə enəcəyini gözləyirik"
Son Xəbərlər
Azərbaycanda Vakansiyalar - Azvak.az
Kriptovalyuta ticarəti kursu
AZCON-nun Müşahidə Şurasına yeni üzvlər təyin edilib
Yeni büdcə təşkilatları yaradılır - FƏRMAN
DOST xidmətləri şəbəkəsi bu il daha da genişlənəcək
"Fitch Solutions" 2026-cı ildə Azərbaycan iqtisadiyyatında artım ilə bağlı gözləntilərini yüksəldib
Beynəlxalq analitik şirkətdən Dollar/Manat məzənnəsilə bağlı proqnoz
Küçələrdə, ictimai yerlərdə elektron siqaret çəkənlər cərimələnəcək
Elektron siqaretlərin idxalı, ixracı, istehsalı və satışına görə cərimələr müəyyənləşir - 5000 MANATADƏK CƏRİMƏ
Maşınqayırma zavoduna sədr təyin edildi

























