Sığorta şirkətlərinin 2021-ci ildəki yığımları və ödənişləri açıqlandı - SİYAHI
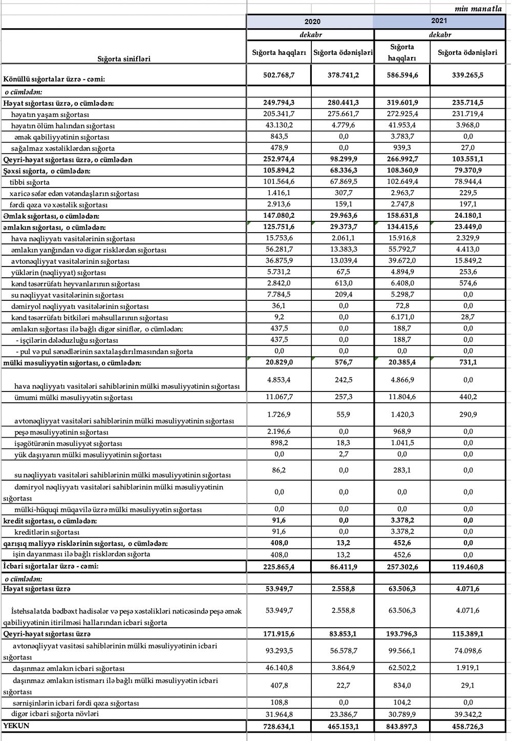
2021-ci il üzrə sığorta icmalı açıqlanıb.Mərkəzi Bank 2021-ci ildə sığortaçılar tərəfindən hesablanmış sığorta haqları və sığorta ödənişləri barədə məlumatları dərc edib.
Marja.az Mərkəzi Banka istinadən təqdim edir.

Müştərilərin xəbərləri
SON XƏBƏRLƏR
- 1 ay sonra
-
3 gün sonra
Yalnız yağın ödənişini edin — Filtr və işçilik bizdən hədiyyə!
- 3 gün sonra
-
-
3 saat əvvəl
Bu gün daha 560 ton taxıl Azərbaycandan keçməklə Ermənistana göndəriləcək
- 3 saat əvvəl
-
3 saat əvvəl
SpaceX - xAI müqaviləsindən sonra Maskın xalis sərvəti ilk dəfə 850 milyard dolları keçib
-
4 saat əvvəl
Anthropic-in yeni süni intellekt plaginləri 300 milyard dollar itki yaratdı
- 4 saat əvvəl
-
4 saat əvvəl
Bank Olmayan Kredit Təşkilatına 17%-lə pul lazımdır - ŞƏRTLƏR
-
6 saat əvvəl
Azərbaycan bankı İslam prinsiplərinə uyğun məhsullarını təqdim edir
-
6 saat əvvəl
“SmartCustoms” və “e.customs.gov.az”a daxil olma imkanları barədə yenilik
- 6 saat əvvəl
Son Xəbərlər
Azərbaycanda Vakansiyalar - Azvak.az
Yalnız yağın ödənişini edin — Filtr və işçilik bizdən hədiyyə!
Endirimli nağd pul krediti – EXPRESSBANKDA
SpaceX - xAI müqaviləsindən sonra Maskın xalis sərvəti ilk dəfə 850 milyard dolları keçib
"Dedollarizasiya prosesinin sona qədər getməsini istəmirik"
Bank Olmayan Kredit Təşkilatına 17%-lə pul lazımdır - ŞƏRTLƏR
Ən çox oxunanlar
Azərbaycan bankı İslam prinsiplərinə uyğun məhsullarını təqdim edir
PayPal-ın İcraçı direktoru dəyişib
Henkel Niderlandın örtük materialları şirkəti Stahl-ı satın alacaq
Birbank Biznes-dən sahibkarlar üçün yeni tariflər
"Bəzi ekspertlər məzənnə ilə bağlı ajiotaj yaradırlar"
Azərbaycan-Özbəkistan İşgüzar Şurası yaradılacaq
"Alagöz Holdinq" Azərbaycana sərmayə qoyuluşunda maraqlıdır






















